S log что это: Что такое LOG и для чего нужен LUT
Что такое LOG и для чего нужен LUT
Rec.709 – это стандартизированный формат телевидения высокой четкости, имеющий соотношение сторон 16:9. Впервые стандарт был одобрен в 1990 году Международным союзом электросвязи (МСЭ или ITU — англ.). Тогда же была принята рекомендация BT.709 или Rec.709, в которой были определены стандарты, для HD-телевидения. В частности, — значение гаммы, для степенной функции HD-телевизоров и HD-мониторов. Rec.709 устанавливает преемственность и совместимость старого и нового теле оборудования. В свою очередь, видеокамеры записывают видео с использованием стандартной гаммы, которую также называют в соответствии со стандартом — Rec.709. Динамический диапазон для Rec.709 ограничен шестью стопами. Существует 3 варианта расширения динамического диапазона камеры: с помощью «колена» для Rec.709, с помощью гамма-характеристик и логарифмических гамма-функций. Все три решения используют сжатие ярких тонов, которые не столь важны для нашего восприятия, и поэтому артефакты сжатия не столь заметны.
С тех пор, как цифровой
формат HD вышел на лидирующие позиции, став весьма популярным, компании
производители неустанно пытались, путем цифровой обработки достичь пленочного
качества. B S-Log, Log-C и RAW используется степень сжатия 4:4:4, имитируя тем
самым, качество пленки.
так выглядят кадры, снятые в разных режимах
По признанию большинства
кинематографистов, на съемочной площадке лучше записать максимально чистые
кадры для того чтобы на этапе постпроизводства не быть ограниченными в выборе.
Съемка в режимах S-Log и Log-C открывает широкие возможности на этапе цветокоррекции. Таким образом, вы получаете богатую цветовую палитру, большой выбор
тональной карты и максимум возможностей для творчества.
Отсюда и пошло название
«средний серый». Средний серый важен по двум причинам. Во-первых, яркость среднего
серого примерно равна средней яркости большинства объектов. Во-вторых, его
яркость попадает в середину диапазона, что делает его очень удобным при
измерении экспозиции. Из графика видно, что
кривые S-Log3 и LogC, бесконечно
близки. Это значит, что протоколы обработки Sony (Log3) и Arri (LogC), максимально
похожи друг на друга. Соответственно и видео ряд полученный с этих камер,
весьма схож. Если же сравнивать протоколы Sony между
собой, то можно видеть разницу между S-Log2 и S-Log3 на графике. На практике же, гамма S-Log3, предлагает более качественную цветовую
проработку от теней к средним тонам, в отличии от S-Log2.
Глядя в видоискатель
камеры, можно счесть протокол S-Log весьма шумным, однако это не так. Как только,
вы используете LUT для преобразования исходного изображения S-Log3 в Rec.709,
вы убедитесь, что шумы сойдут на нет.
Правильно подобранный LUT сделает ваши кадры более насыщенными и
качественными. Конечно, если вы знаете, что делаете, то можно обойтись и без
LUT, однако использование этих алгоритмических протоколов все же очень упрощает
работу. Еще один, очень удобный способ преобразования S-Log3 в Rec.709, — использование
цветовой карты Resolve. Этот новый инструмент, в автоматическом режиме
распознает, исправляет и выравнивает значения Macbeth или DSC One Shot. При
настройке Resolve, источником гаммы необходимо выбрать S-Log3, таким образом
будут скорректированы кривые гаммы и добавлена цветокоррекция. Георгий Очигава Как экспонировать и оценивать HLG на камере Sony
Когда дело доходит до профилей изображений камер Sony, S-Log привлекает большое внимание.
Есть еще один вариант, который может подойти многим: HLG. Hybrid-Log Gamma — это более стандартный формат HDR, который почти готов к использованию с некоторыми устройствами. Если вы хотите попробовать, вы должны понимать, как лучше всего с этим справиться.
Экспонирование и оценка различных профилей изображений может быть сложной задачей, поэтому это полезное руководство от Harv Video / Audio Stuff должно послужить очень хорошим учебником для HLG. Понимание того, как получить наилучшую экспозицию, упростит жизнь, когда вы начнете оценивать.
Это относится ко многим камерам Sony, поскольку они уже давно используют HLG. В частности, вы получите наилучшие результаты с 10-битными опциями, такими как a7 IV , a7S III или FX3 .
Когда речь идет о 8-битной записи, HLG может быть лучше журнала, так что имейте это в виду.
HLG или Hybrid-Log Gamma — это форма HDR, разработанная для широковещательных приложений, где вам может потребоваться отображать либо обычное SDR-изображение, либо HDR-изображение с использованием одного и того же конвейера данных. Это дает ему фирменный стиль Instant HDR, когда вы можете просто записывать в HLG и воспроизводить в любом месте в лучшем качестве.
Тем не менее, в конце концов, это просто еще один профиль изображения, у которого есть свои особенности для съемки и редактирования.
Начиная с того, как экспонировать его, Харв сделал то, к чему он привык, и продвинул изображение как можно дальше, чтобы передержать его. В его примере он сделал +2 ступени, передержанный встроенным в камеру экспонометром. Добавление контраста и уменьшение экспозиции позволило получить красивое изображение. Он получил аналогичные результаты всего через 1 остановку.
При «правильной» экспозиции отснятый материал становится все тусклее и тусклее, а после сортировки есть вероятность появления полос.
Это еще одно уравновешивающее действие для подверженности HLG, хотя кажется, что 1-2 ступени для него — приятное место. По сравнению с S-Log3 в той же ситуации, запись журнала давала более естественное изображение. Эти результаты были повторены как внутри, так и снаружи.
Кажется, что HLG дает более контрастное и насыщенное изображение. Это определенно требует дополнительной работы в почте, и не все это легко корректируется.
Это не так уж удивительно, если посмотреть на кривую ГВУ. Нижняя часть кривой является линейной, но в наиболее важных местах она имеет логарифмическую кривую. Это может немного затруднить оценку, поскольку разные области могут реагировать по-разному.
Если вы редактируете HLG, вам нужно убедиться, что ваша NLE знает, с чем она работает, иначе вы получите некоторую странность. В Final Cut это на самом деле очень легко сделать, и вы можете получить хорошее изображение без особых усилий, если вы правильно экспонируете.
По сравнению с S-Log, HLG может дать вам лучшие результаты с 8-битным материалом, поскольку он требует меньшего растяжения при публикации. Тем не менее, S-Log выглядит так, как будто после сортировки изображение будет более естественным.
HLG, безусловно, проще использовать, если вы собираетесь получить конечный продукт Rec.709. S-Log3 также обеспечивает гораздо больший динамический диапазон. Кроме того, у HLG все еще есть свои собственные рекомендации по экспозиции, которые не делают его очень простым в использовании, а для оценки требуется свой собственный стиль.
Также следует учитывать, как более широко поддерживается S-Log3 с различным внешним видом и LUT. Итак, если у вас есть любимый образ, вы можете посмотреть, подойдет ли он для HLG. Еще один аспект HLG заключается в том, что он не очень удобен для оценивания, хотя требует некоторой доработки. Вам просто нужно очень легкое прикосновение и убедиться, что все настроено правильно, прежде чем вы начнете.
Вы раньше пользовались HLG? Вы собираетесь попробовать это сейчас?
Если вы нашли ошибку, пожалуйста, выделите фрагмент текста и нажмите Ctrl+Enter.
Фильммейкер, главный редактор, технический писатель По вопросам статей и материалов писать сюда http://news.fidller.com/about-contact/ Наш магазин оборудования — http://fidller.com/
Сводить по цвету картинку S-Log (C-Log) с обычным нейтральным профилем? Как сводить по цвету с другими камерами?
Как свести картинку по цвету, снятую в режиме log с картинкой с другого фотоаппарата, снятой в обычном нейтральном профиле со стандартной гаммой?
Обычно такой вопрос возникает, когда несколько людей снимают на разную технику, предварительно не согласовав между собой настройки камер. В результате, один снимал на Sony A7s в S-Log, другой снимал на Canon 5D MkIII в стандартном нейтральном профиле. Третий снимал все на 6D в CineStyle. А потом все это нужно привести к одному общему знаменателю на монтаже. И задача не из простых.
На YouTube полно роликов, как потратив битый час, сделать хоть сколько-нибудь похожими кадры с разных камер.
Если вы влипли в такую ситуацию — выхода нет. Но впредь вы должны помнить:
1) Режим логарифмической гамма-кривой не только уменьшает контраст, но и вносит смещения по цвету. Например, на Sony A7s в S-log картинка валится в зеленый, на Canon C100 и С300 в C-log зеленый цвет становится бирюзовым. И при попытке откорректировать у вас возникают артефакты на однородных голубых или зеленых областях. Точно так же, всеми любимый Technicolor Cinestyle для зеркалок Canon после восстановления через LUT выглядит совершенно другим по цвету в сравнении с обычным нейтральным профилем. Цвет кожи, так называемый skintone также изменяется, поэтому…
2) НИКОГДА не снимайте в режимах log на РАЗНЫЕ камеры. Тем более, если вы снимаете событийное видео, вы потратите несколько дней только на то, чтобы кое-как привести их по цвету к общему знаменателю. Если у вас разные камеры — выставьте на всех обычный нейтральный заводской профиль с минимальным контрастом.
3) Как ни странно, при попытке выставить вручную одинаковое значение баланса белого на фотоаппаратах разных производителей — разница по цвету может быть больше, чем если камеры выставят его автоматически.
Это связано и с разной цветопередачей объективов, а также с тем, что помимо цветовой температуры (которую можно точно задать в Кельвинах) есть еще параметр tint, который на разных камерах имеет свою дискретность, а выставить его «на глазок» по маленькому экрану невозможно. Поэтому оптимальным вариантом будет настроить камеры по белому листу бумаги и не менять значение в процессе съемки. Пусть даже температура цвета немного изменится (например, при опускающемся солнце), но на монтаже это легко будет поправить, причем одинаково для материала со всех камер.
4) Режим логарифмической гамма-кривой очень полезная вещь. Но использовать его можно ТОЛЬКО если вы снимаете одной камерой, либо ОДИНАКОВЫМИ камерами, или, хотя бы, камерами одного производителя. S-log даже для Sony A7s и A7sII немного отличается. Конечно в случае с Sony все это легко сводится даже с FS5 и FS7, но вы никогда не сведете идеально материал Sony и Canon. Проблему решает видео в RAW, но цена вопроса и процесс такой съемки подходит далеко не всем.
Обзор и тест беззеркальной камеры Sony A7R II, Sony A7S II, Sony A6300 — Профили изображения и S-Log
Профили изображения и S-Log
В видеосъёмке существует два принципиально разных подхода к настройке изображения. Можно провести достаточно грубые параллели с фотосъёмкой, где также прослеживается два пути: съёмка в JPEG и съёмка в RAW. Первый вариант с JPEG требует предварительной настройки всех параметров непосредственно во время съёмки. На выходе получается готовая фотография. В случае съёмки в RAW-формате большинство решений по настройкам оставляется на потом, но фото требует обязательной постобработки. RAW-формат сохраняет много избыточной информации, так что можно в очень широких пределах менять контраст, насыщенность, экспозицию и цвет без деградации изображения.
В случае видеосъёмки также можно отрегулировать все основные параметры непосредственно в камере, не оставляя почти ничего на постобработку.
А можно наоборот: записать максимально неконтрастное, ненасыщенное по цвету изображение в расчёте на то, что все настройки будут проведены уже после съёмки или монтажа фильма в специализированной программе типа Da Vinci Resolve или же в самой монтажной программе (Final Cut, Adobe Premiere).
В чём преимущества и недостатки каждого из подходов?
При видеосъёмке объём информации чрезвычайно велик, поэтому используемые для записи кодеки сжимают её. Понятно, что профессиональные кино- и видеокамеры рассчитаны на форматы с минимальным сжатием типа Apple ProRes и даже на видео в RAW-формате, что обеспечивает необходимую коррекцию без деградации изображения. Сегмент же рассматриваемых нами фото- и видеокамер с возможностью видеосъёмки в силу технических, ценовых и маркетинговых ограничений не может использовать форматы без сжатия.
Поэтому в идеале нужно уже во время съёмки провести настройки таким образом, чтобы потом никаких серьёзных действий с цветом и тональностью не происходило.
Именно так обычно снималась телевизионная и любительская видеопродукция. Однако в цифровом кинематографе практически с самого начала возобладал противоположный подход: все настройки, цветокоррекцию и грейдинг (придание изображению особого характера, отвечающего творческим замыслам авторов фильма) оставляют на потом как отдельные операции в постобработке.
Для этих целей Sony создала профили изображения (Picture Profile). В них можно изменять множество параметров, влияющих на конечное изображение. Все эти настройки делятся на четыре основные группы:
- базовые контраст и цветовой тон;
- градация;
- цвет;
- краевой контраст (резкость).
Профили включаются и выбираются в основном меню камеры. Считается, что первые шесть профилей от PP-1 до PP-6 рассчитаны на то, чтобы использоваться по первому варианту, когда все или почти все параметры определяются оператором до съёмки. Эти профили применяют вариации стандартной гаммы, сразу дающей изображение практически готовое к использованию.
Профили изображения в камерах Sony
PP-1 — стандартный видеопрофиль с яркой и красивой картинкой, немного пониженным контрастом и насыщенностью по сравнению со «стандартным» творческим стилем для фотосъёмки.
PP-2 — профиль, аналогичный «стандартному» творческому стилю в фото, с очень контрастным и насыщенным изображением.
РР-3 — профиль с гаммой ITU 709, стандартной для HD-телевидения с нейтральными цветами и контрастом, подходящим для обычного телевизора.
РР-4 — профиль с гаммой ITU 709 с добавлением цветовой матрицы ITU 709, которая способствует точному воспроизведению цветов.
РР-5 — один из профилей с гаммой Cine-1 и цветовым режимом Cinema. В нём получается естественное изображение, сходное по ощущению с тем, к которому мы привыкли в кинотеатрах.
Гамма Cine-1 даёт более широкий динамический диапазон и особенно хорошо воспроизводит детали в самых светлых участках кадра с плавной градацией, что полезно для съёмок при ярком солнечном свете.РР-6 — профиль, который использует гамму Cine-2, почти такую же, как Cine -1, но безопасную для телевещания с его более ограниченным динамическим диапазоном. Cine-3 — более контрастная гамма с меньшим динамическим диапазоном. Cine-4 понижает контраст в тенях и расширяет возможность воспроизведения теневых участков, что делает её особенно полезной для съёмок при низких уровнях освещения.
Все стандартные гаммы за исключением Cine 1–4 требуют нормального экспонирования по средне-серому полю. Если же экспонировать по яркости лица в кадре, то стоит немного — около 2/3 ступени — добавить экспозицию. С гаммами Cine 1–4, чтобы сохранить информацию в тенях, рекомендуется недоэкспонировать кадр примерно на 1 ступень и поднимать яркость в монтажной программе, контролируя, чтобы света не превышали 100% по уровням видеосигнала.
Профили от PP-7 до PP-9 рассчитаны на то, что после съёмки будет проведена коррекция. Эти профили дают очень мягкое, неконтрастное изображение с минимальным цветом, позволяя изменять все основные параметры позже при монтаже.
Скачать в оригинальном качестве
Скачать в оригинальном качестве
Скачать в оригинальном качестве
Скачать в оригинальном качестве
В этих профилях в качестве гаммы используется S-Log, а в цветовом режиме — пространство S-gamut.
Чтобы понять, что такое логарифмическая функция, нужно вспомнить, что человеческое зрение в отличие от цифровых камер нелинейно. То есть увеличение яркости в два раза не вызывает такого же зрительного ощущения. Поэтому и была создана логарифмическая гамма, отражающая особенности человеческого восприятия и обладающая очень широким динамическим диапазоном со способностью хорошо сохранять информацию как в самых светлых, так и в самых тёмных участках кадра.
В камере Sony ILCE-7RM2 имеется только один вариант логарифмической гаммы — S-Log2. В Sony ILCE-6300, ILCE-6500, ILCE-7SM2, кроме S-Log2, предусмотрены два варианта с S-Log3. Отличие заключается в том, что S-Log2 лучше сохраняет информацию в светах, а S-Log3 в теневых участках изображения.
Вследствие использования нестандартной гаммы, сильно меняющей яркости в кадре, минимальный уровень светочувствительности ISO существенно повышается, что может вызывать значительные сложности при съёмках в условиях яркого света. Так, на камерах Sony A7R2, A6300 и A6500 минимум ISO при использовании профилей с S-Log составляет 800 единиц, на в A7S2 — 1600.
Напомним, что при съёмке видео не рекомендуется регулировать экспозицию с помощью выдержки, нужно всегда стараться сохранять значение в 1/50 секунды. Поэтому для съёмки с профилями PP-7 – PP-9 понадобится покупка нейтрально-серых фильтров разной плотности или же одного фильтра переменной плотности.
При замере яркости по средне-серому тону с использованием S-Log серый отображается как слишком тёмный, близкий к чёрному. Поэтому после замера тона кожи можно смело увеличивать экспозицию на полторы-две экспоступени от рекомендованной экспонометром. Такой подход даст не только более близкую к реальности картинку, но и сильно уменьшит количество шумов в кадре. Это облегчит коррекцию на постобработке и сильно улучшит качество видео. То есть при съёмке в S-Log хорошо работает стратегия экспонирования по теням.
Съёмка с использованием профилей раньше осложнялась тем, что изображение на экране камеры выглядело малоконтрастным и не позволяло оптимально настроить экспозицию, а также рассмотреть все происходящее в кадре.
Sony Alpha ILCE-7SM2 стала первой камерой семейства, в которой появилась функция помощи при работе с профилями гамма-кривой. Эту функцию можно назначить одной из программируемых кнопок. На карту памяти вы будете записывать малоконтрастное изображение с расширенным диапазоном, однако на экране сможете видеть более живую и естественную картинку.
Назначение функции одной их кнопок
Помощь при работе с профилем гамма-кривой
Съёмка в Log-гамме практически обязательна в современном кино, так как позволяет в очень широких пределах работать с изображением в постобработке, оставляя на потом решения по цвето- и тоновоспроизведению. Камеры серий Alpha 7S, 7S2, 7R2, 6300 и 6500 c возможностью использования S-Log дают материал, который легко может быть приведён по своему виду к тому, что снимается на профессиональных киновидеокамерах. Соответственно, при монтаже фильма можно использовать материалы, снятые камерами разных производителей. Так что фотоаппараты Sony, как бы странно это ни звучало, с лёгкостью встраиваются в профессиональный видеопроцесс благодаря своим возможностям работы с профилями.
Нужно лишь помнить, что из-за сильного сжатия видеопотока на фотокамерах в некоторых ситуациях возможно появление цифровых артефактов. Например, это может быть ступенчатый градиент на голубом небе или другом равномерно освещённом объекте с гладкой поверхностью. Подобные проблемы сводятся к минимуму при использовании внешнего рекордера с возможностью записи в формате Apple ProRes с кодированием сигнала 4:2:2. В качестве таких рекордеров могут использоваться устройства фирмы Atomos (например, Atomos Ninja Flame). Камеры Sony способны выдавать на HDMI чистый несжатый видеопоток, в том числе в разрешении 4K (если модель поддерживает запись в этом формате). Эта возможность редко встречается в современных камерах.
Такой рекордер совмещает в себе две функции: запись видео в формате 4K или HD ProRes/DNxHR и работа в качестве профессионального накамерного 7-дюймового монитора с возможностью просмотра S-Log картинки, приведённой на лету в «нормальный» вид. Запись видеофайлов с помощью таких рекордеров делает постобработку намного более гибкой, но утяжеляет риг с камерой.
Также потребуется намного больший объём памяти для записи и хранения видеофайлов, серьёзно ужесточаются требования к монтажному компьютеру.
Чем обрабатывать S-Log?
Catalyst Browse — это бесплатная программа, предназначенная для просмотра, подготовки, конвертации, цветокоррекции и грейдинга видеофайлов, снятых камерами Sony. Программа удобна для первичной коррекции кадров, записанных в разных видах S-Log. Она позволяет настраивать изображение в широких пределах, выбирая входные и выходные цветовые пространства, контролируя практически все параметры настроек по яркости, контрасту, насыщенности, цветовой температуре и оттенку.
Программа имеет все необходимые средства контроля в виде вектроскопа (контроль цвета) и осциллографа (контроль экспозиции). Также есть фотографическая гистограмма. Коррекция может осуществляться классическим для видео способом с помощью цветовых колёс.
В какой-то степени Catalyst Browse является аналогом программ для конвертации RAW-файлов в фотографии.
Он также позволяет корректировать картинку по основным параметрам настроек, превращая фотокамеры Sony в серьёзный инструмент видеопроизводства с возможностью профессионального применения.
» Внутренняя запись в LOG — режиме для Nikon Z7 и Z6
21.11.2018 от Cinemadslr
EOSHD представила новый Z-LOG для записи видео на зеркальных и беззеркальных фотоаппаратах Nikon.
Новые полнокадровые фотокамеры Z7 и Z6 от Nikon ранее получили много хороших обзоров. Тем не менее, один из немногих недостатков — это отсутствие возможности записи видео в LOG-режиме. К счастью, EOSHD выпустила новое приложение Z-LOG, с помощью которой эта функция стала возможной.
В видео ниже вы можете посмотреть, как работает это приложение на Nikon Z7 или Z6.
Данное приложение может конкурировать с камерами, такими как Panasonic GH5 и Sony A7 III.
Этот новый Z-LOG (который работает с форматом 4K) помогает во всем: от выключения никоновского режима повышения резкости, чтобы добавить динамического диапазона изображению.
И это не только для Nikon Z7 и Z6. Ниже приведен полный список камер Nikon, которые могут поддерживать Z-LOG:
Когда вы загружаете и устанавливаете Z-LOG, на самом деле вы получите три разных стиля изображения:
Z-LOG Cinema: плавные тона, похожие на кинокамеру Alexa или Blackmagic. Высокий уровень детализации. Совместим с плоскими профилями LOG, такими как Canon LOG.
Z-LOG Cinema Sharpness Off: выключает алгоритмы повышения резкости Nikon, таким образом вы можете регулировать резкость в постобработке.
Z-LOG L: детали в тенях и широкий динамический диапазон. Совместим с широким диапазоном LUT, аналогичным V-LOG, S-LOG и F-LOG.
Если в прошлом вы добавили запись сторонней записи LOG (или другие обновления камеры, такие как Magic Lantern), этот процесс должен быть довольно простым.
Все, что вам нужно сделать, это загрузить выбранный файл изображения на карту памяти, а затем загрузить его как пользовательский стиль изображения. Согласно EOSHD, их приложение Nikon Z-LOG на 100% безопасен. После загрузки вы сможете найти его рядом со стилями изображения Nikon по умолчанию и быть готовыми к работе.
Скачать приложение можно здесь
Рубрики: Nikon, Видео, Новости, Софт | Комментариев нет »
App Store: FiLMiC Pro
«FiLMiC Pro v6 — это самая продвинутая кинематографическая видеокамера для мобильных устройств. FiLMiC Pro обладает самыми современными возможностями и является самым удобным приложением для ручной съемки.
FiLMiC Pro неоднократно становилось лучшим приложением года для iOS-видеокамер и использовалось в большом количестве видеопроектов режиссерами, получившими награды:
Unsane & High Flying Bird — Стивен Содерберг
Tangerine — Шон Бейкер
Lose You to Love Me — Селена Гомес
Stupid Love — Леди Гага
Detour — Мишель Гондри
Железный снег — Зак Снайдер
FiLMiC Pro предоставляет кинематографистам, дикторам, учителям, влоггерам и художникам возможность снимать в истинной гамма-кривой LOG (включена в опциональную покупку приложения CineKit).
LOG V2/V3 обеспечивает больший тональный диапазон и гибкость в постпроизводстве, расширяя динамический диапазон и ставя возможности iPhone на один уровень с традиционными системами камер. †
FiLMiC Pro также предлагает ряд кинематографических эффектов (приобретается дополнительно в приложении), которые могут быть применены в камере во время съемки для создания по-настоящему кинематографической эстетики без необходимости своевременного грейдинга в пост-продакшне. †
Примечание: Поддержка Multicam не включена в FiLMiC Pro, но доступна в нашем приложении-компаньоне: DoubleTake.
v6 Banner Особенности:
-Двойной ползунковый регулятор для ручной фокусировки и экспозиции.
-Набор аналитики в реальном времени, включая зебру, ложный цвет и пикинг фокуса (ограничение 30 кадр/с в 4k и 60 кадр/с в 1080p)
-Поддержка Dolby Vision HDR на iPhone 12-й серии (ограничение 4K 30 кадров в секунду. Не совместимо с CineKit)
— Кинематографические образы в реальном времени †
— Поддержка 10-битного SDR на устройствах 12-й серии
— Чистый выход HDMI для мониторинга и использования веб-камеры
— Регулировка масштабирования
— Монитор формы волны, включая трехрежимную гистограмму
— Ручная настройка баланса белого и пользовательские пресеты
— Регуляторы гамма-кривой для режимов Natural, Dynamic, Flat и LOGv2/V3 †
— Живые регуляторы теней и бликов †
— Регуляторы RGB, насыщенности и вибрации † в реальном времени.
(† Доступно в качестве дополнительной покупки в приложении и ограничено 30 кадр/с в 4k и 60 кадр/с в 1080p. Log V3 доступен только на 12 сериях в 10-битном формате).
Основные функции:
— Стандартный, ручной и гибридный режимы съемки. Стиль съемки для любого уровня мастерства.
— Поддержка Apple Watch для удаленного запуска/остановки и предварительного просмотра видео.
— Вертикальная и альбомная ориентация
— Зум с переменной скоростью
— Частота синхронизации аудио 24, 25, 30, 48, 50 и 60 кадров в секунду
— Высокоскоростная частота кадров 120, 240 кадров в секунду (зависит от оборудования)
— Съемка Time lapse
— Трехрежимная гистограмма
— Понижение дискретизации до различных разрешений
— Сохранение настроек съемки
— Наложение направляющих для кадрирования
— Стабилизация изображения
— Поддержка FiLMiC Remote. Remote позволяет управлять приложением FiLMiC Pro с помощью второго устройства iOS.
Полное ручное управление с возможностью регулирования:
— Экспозиции: ISO и выдержка
— Ручной фокусировки
— Зум
8 форматов соотношения сторон:
— Широкоэкранный (16:9)
— Супер 35 (2.
39:1)
— Ultra Panavision (2.76:1)
— Квадрат (1:1)
4 варианта кодирования для баланса качества и размера файла:
— FiLMiC Extreme (обеспечивает кодирование со скоростью до 150 Мбит/с при 4K на устройствах последнего поколения).
— FiLMiC Quality
— Стандарт Apple
— Экономичный
Поддержка оборудования сторонних производителей:
— 1,33x и 1,55x объективы анаморфотного сжатия
— Адаптеры для 35-мм объективов
— Горизонтальный флип
Поддерживаемые гимбалы:
— Zhiyun Smooth 4
— Movi Cinema Robot
— DJI OM 1/2/3/4
Расширенные аудио функции:
— Профессиональные аудиоформаты: PCM, AIFF, AAC
— Частота дискретизации 44,1 и 48 кГц
— Мониторинг наушников
— Профессиональный аудиометр
— Ручное регулирование входящего сигнала
Примечание: Не все функции доступны на старых устройствах.
az monitor activity-log alert scope
Были ли сведения на этой странице полезными?Оцените свои впечатления
Да Нет
Хотите оставить дополнительный отзыв?
Отзывы будут отправляться в корпорацию Майкрософт.
Нажав кнопку «Отправить», вы разрешаете использовать свой отзыв для улучшения продуктов и служб Майкрософт. Политика конфиденциальности.
Отправить
Спасибо!
Управление областями для оповещений журнала действий.
В этой статье
Команды
az monitor activity-log alert scope add
Добавьте области в это оповещение журнала действий.
az monitor activity-log alert scope add --scope
[--ids]
[--name]
[--reset]
[--resource-group]
[--subscription]Примеры
Добавьте области в это оповещение журнала действий. автоматически сформированный
az monitor activity-log alert scope add --name MyActivityLogAlerts --resource-group MyResourceGroup --scope /subscriptions/xxxxxxxx-xxxx-xxxx-xxxx-xxxxxxxxxxxx /subscriptions/xxxxxxxx-xxxx-xxxx-xxxx-xxxxxxxxxxxx/resourceGroups/myRG /subscriptions/xxxxxxxx-xxxx-xxxx-xxxx-xxxxxxxxxxxx/resourceGroups/myRG/Microsoft.
KeyVault/vaults/mykeyОбязательные параметры
—scope -s
Список добавляемых областей. Каждая область может быть ИДЕНТИФИКАТОРом ресурса, ИДЕНТИФИКАТОРом группы ресурсов или ИДЕНТИФИКАТОРом подписки.
Необязательные параметры
—ids
Один или несколько идентификаторов ресурсов (с разделителями-пробелами). Это должен быть полный идентификатор ресурса, содержащий все сведения об аргументах «Resource id». Необходимо указать идентификаторы или другие аргументы «Resource id».
—name -n
Имя оповещений журнала действий.
—reset
Перед добавлением новых областей удалите все существующие области.
—resource-group -g
Имя группы ресурсов. Вы можете настроить расположение по умолчанию с помощью az configure --defaults group=<name>.
—subscription
Имя или идентификатор подписки Вы можете настроить подписку по умолчанию с помощью az account set -s NAME_OR_ID .
—debug
Повышение уровня детализации журнала для включения всех журналов отладки.
—help -h
Отображение этого справочного сообщения и выход.
—only-show-errors
Показывать только ошибки, блокируя предупреждения.
—output -o
Формат вывода.
—query
Строка запроса JMESPath. Дополнительные сведения и примеры см. в разделе http://jmespath.org/.
—verbose
Повышение уровня детализации журнала. Чтобы включить полные журналы отладки, используйте параметр —debug.
az monitor activity-log alert scope remove
Удаляет области из этого оповещения журнала действий.
az monitor activity-log alert scope remove --scope
[--ids]
[--name]
[--resource-group]
[--subscription]Обязательные параметры
—scope -s
Удаляемые области.
Необязательные параметры
—ids
Один или несколько идентификаторов ресурсов (с разделителями-пробелами). Это должен быть полный идентификатор ресурса, содержащий все сведения об аргументах «Resource id». Необходимо указать идентификаторы или другие аргументы «Resource id».
—name -n
Имя оповещений журнала действий.
—resource-group -g
Имя группы ресурсов. Вы можете настроить расположение по умолчанию с помощью az configure --defaults group=<name>.
—subscription
Имя или идентификатор подписки Вы можете настроить подписку по умолчанию с помощью az account set -s NAME_OR_ID .
—debug
Повышение уровня детализации журнала для включения всех журналов отладки.
—help -h
Отображение этого справочного сообщения и выход.
—only-show-errors
Показывать только ошибки, блокируя предупреждения.
—output -o
Формат вывода.
—query
Строка запроса JMESPath. Дополнительные сведения и примеры см. в разделе http://jmespath.org/.
—verbose
Повышение уровня детализации журнала. Чтобы включить полные журналы отладки, используйте параметр —debug.
Общие сведения о записи в формате журнала | B&H Explora
Когда-то логарифмическая (логарифмическая) запись, которая когда-то рекламировалась как основная функция только цифровых видео/кинокамер высшего класса, таких как линейка Sony CineAlta, стала основой более доступных профессиональных продуктов, таких как Canon EOS-C. серии, и более доступным через потребительские продукты, такие как беззеркальные камеры Sony серии α. Одна из причин, по которой запись журнала стала настолько распространенной, заключается в том, что она часто ассоциируется с идеей лучшего качества изображения.В двух словах, запись с использованием профиля или кривой логарифмического изображения сохраняет большую часть динамического диапазона и тональности вашего изображения за счет перераспределения цифровых представлений значения экспозиции по всему набору значений с использованием предустановленной логарифмической функции.
Если вы поняли это предложение и последствия, вам, вероятно, не нужно читать остальную часть этой статьи. Итак, для остальных из нас, кто не так хорошо знаком с гиковским языком, который я только что изверг, что это значит на простом английском? Давайте посмотрим глубже.
Основы
«Проблема возникает при осознании того, что значения экспозиции, с помощью которых мы измеряем свет, не являются линейными».
Чтобы понять запись журнала, мы должны наблюдать, как видеоинформация традиционно кодируется на наиболее распространенных видеокамерах, зеркальных фотокамерах, беззеркальных камерах и даже сотовых телефонах. Свет фокусируется объективом вашей камеры на датчик изображения вашей камеры. Затем датчик преобразует количество света, попадающего на каждый отдельный пиксель, в электрическое напряжение.Чем больше света, тем выше выходное напряжение датчика. Аналого-цифровые преобразователи камеры преобразуют эти напряжения в цифровые значения экспозиции, которые кодируются и сжимаются в видеофайл, который записывается в память камеры.
Теперь здесь все может стать немного сложнее, так что потерпите меня. (Ради простоты я не буду обсуждать здесь запись необработанного видео и процесс дебайеризации, поскольку он имеет свои собственные логарифмические свойства.) Если ваше видео, как и большинство видео, не записано с использованием профиля изображения журнала, шансы экспозиция записывается линейно.Видео, записанное или закодированное таким образом, выглядит хорошо на обычном мониторе компьютера/телевизоре и будет иметь хороший видимый контраст от черного к белому. Это означает, что с небольшой обработкой или без нее это видео будет выглядеть достаточно хорошо практически на любом устройстве отображения, при условии, что настройки экспозиции и баланса белого были правильными во время записи.
Кого волнует бревно?
Итак, если ваше видео уже работает практически на любом экране без дополнительных усилий, кого волнует лог? Ну, запись видео с использованием линейного профиля изображения подходит для многих ситуаций; однако он не лишен некоторых серьезных ограничений.
Чтобы понять эти ограничения, давайте вернемся к описанному выше процессу формирования изображения с камеры, особенно к последней части, касающейся аналого-цифрового преобразования напряжения, поступающего от датчика. Именно на этом решающем этапе можно применить профиль изображения, также известный как кривая экспозиции. Линейная запись называется линейной, потому что кривая экспозиции вообще не применяется. Проблема возникает при осознании того, что значения экспозиции, с помощью которых мы измеряем свет, не являются линейными. «Стоп» экспозиции представляет собой удвоение или уменьшение вдвое фактического уровня освещенности, а не увеличение на какое-то произвольное линейное значение на шкале.Фактически можно сказать, что значения воздействия сами по себе логарифмические!
Еще более пристальный взгляд
Если дихотомия еще не проявилась, давайте углубимся немного дальше. В 8-битном двоичном видеофайле, подобном тому, который записывается большинством потребительских и полупромышленных устройств, существует 256 (2 8 ) возможных представлений экспозиции, доступных по всему спектру, от абсолютно черного до супер белого.
Пиксели, которые являются абсолютно черными (экспозиция не зарегистрирована), получают наименьшее значение 0.Супербелым пикселям (вспомните пересветы) присваивается максимальное значение 255. Все остальное занимает промежуточные 254 значения. Итак, действуя в обратном направлении, используя пример с камерой: при линейной записи напряжениям, поступающим от каждого пикселя сенсора камеры, присваивается одно из этих 256 значений на основе уровня напряжения, который определяется фактическим уровнем экспозиции сфокусированного изображения. объективом. Теперь, поскольку значения экспозиции являются логарифмическими, уровни напряжения, выдаваемые датчиком на аналого-цифровой преобразователь, отражают это.И когда эти напряжения поступают на аналого-цифровой преобразователь, он записывает их, используя линейную функцию. Недостатком является то, что этот метод загружает сверху 256 значений, и динамический диапазон не будет одинаково представлен в 8 битах. Это немного легче понять визуально, поэтому взгляните на график ниже.
По оси X показан весь диапазон экспозиций гипотетического изображения, разделенный на 8 значений. Для простоты будем считать, что это изображение имеет 8 ступеней динамического диапазона (независимо от динамического диапазона вашей камеры, этот принцип должен оставаться неизменным).Ось Y показывает назначенное значение данной яркости относительно каждого из 8 битов; следовательно, значения выражаются в виде двоичных показателей. При линейной записи точки, показывающие, где каждая из остановок представлена на этой шкале, образуют прямую линию, идущую от 0 до 255. Но подождите. Посмотрите на числовую разницу между стопами 7 и 8. Этот стоп дает целых 128 бит представления, половину всей битовой глубины изображения! Стоп ниже этого получает 64 бита, а стоп ниже этого ограничивается только 32 битами и так далее.Это оставляет нижние четыре ступени (половину) диапазона экспозиции, где находится вся информация о тенях на ваших изображениях, с шестнадцатой частью всей битовой глубины вашего изображения.
Что делать, если вы хотите восстановить или усилить тени во время цветокоррекции? Удачи. Это просто станет беспорядком. Проблема двоякая, потому что если вы переэкспонируете свое изображение, чтобы компенсировать эту загрузку сверху и получить детали в этих теневых областях, почти половина вашей битовой глубины будет посвящена бликам, которые становятся размытыми.Запись журнала призвана решить все эти проблемы.
Решение
Запись журнала спешит на помощь! Теперь, когда мы понимаем стандартную линейную запись, будет легче понять, как работает запись журнала. Возвращаясь еще раз к аналого-цифровому преобразованию вашей камеры — вместо того, чтобы аналого-цифровой преобразователь линейно присваивал значения, таким образом делая предыдущий график прямой линией, он применяет кривую к экспозиции до того, как изображение будет сжато и записано. Эта кривая сдвигает нижнюю и среднюю части динамического диапазона в верхнюю часть динамического диапазона, где выделена большая часть битовой глубины.
Если бы изображение журнала было нанесено на график, оно выглядело бы примерно так.
Этот сдвиг имеет очевидный побочный эффект размытия изображения при просмотре на обычном мониторе. Взгляните на эти кадры ниже.
| Линейное нижнее изображение | Изображение S-log2 |
Оба этих снимка кадра взяты из файлов, записанных моей камерой Sony α7S. Оба были сняты в одно и то же время суток с помощью объектива Zeiss Loxia 35mm f/2, установленного на f/22.Изображение слева было записано с линейным стилем изображения при ISO 400, а изображение справа было записано с использованием кривой экспозиции S-Log2 с минимально возможным значением ISO, 3200. Я использовал зебры, чтобы убедиться, что изображения были просто не хватает отсечения в основных моментах. Обратите внимание, насколько более плоским стало изображение S-Log2. К сожалению, это был относительно ровный день, поэтому эффект не так выражен, как хотелось бы.
Несмотря на это, линейное изображение почти не содержит информации о тенях.Заглянув под деку, линейная запись в основном черная, и вы едва можете различить узоры дерева и тачку. Запись S-Log2 четко определила узор дерева, а также тачку. Теперь, когда у вас есть эти детали для работы, вы можете создать изображение с превосходной градацией и деталями в тенях, и все это без обрезки светлых участков. Но для этого вам нужно добавить дополнительный шаг цветокоррекции. Итак, я зашел в свой NLE и оценил файл S-Log2. Сравните изображения еще раз.На этот раз изображение справа представляет собой грубо оцененный S-Log2. Изображение слева идентично левому изображению выше.
| Линейное нижнее изображение | Градиентное изображение S-Log2 |
Градиентное изображение S-Log2 имеет гораздо лучшую градацию в тенях по сравнению с линейным изображением благодаря перераспределенным значениям экспозиции.
Теперь, сортировка бревна требует практики, и хотя у меня есть некоторый опыт съемки в различных формах бревна, я ни в коем случае не профессиональный колорист.Тот, кто зарабатывает на жизнь цветокоррекцией и грейдингом, действительно может взять логарифмически закодированные изображения и творить с ними серьезную магию. Возможно, по иронии судьбы, процесс постпродакшна, по сути, выковывает кривую в отснятом материале, чтобы сделать его более линейным.
Возвращение в реальность
Несмотря на то, что запись журнала обеспечивает большую гибкость, не обошлось и без оговорок. Да, логарифмическая съемка гибка, но этот факт не дает вам свободы лениться и не проверять экспозицию.Наоборот, вам нужно быть еще более осторожным с экспозицией, особенно если вы проверяете ее на неоткорректированном мониторе. Некоторые мониторы могут использовать так называемые LUT (таблицы поиска), чтобы компенсировать логарифмическую кривую и представить линейное изображение, которое не размыто.
Многие колористы также используют LUT в качестве отправной точки для оценки отснятого материала. Монитор, поддерживающий LUT, например мониторы SmallHD серий 500 и 700, может оказаться незаменимым на съемочной площадке при съемке журналов. Это не только сохранит согласованность ваших экспозиций, но и избавит вашего клиента от вопросов, почему ваше изображение выглядит таким размытым.Мониторы с осциллографами, т. е. осциллограммами и гистограммами, также удобны в таких ситуациях, позволяя вам точно оценить пересветы и правильную экспозицию. Поскольку каждый тип бревна имеет свою кривую, для каждой марки бревна, с которым вы хотите снимать, нужны отдельные LUT.
Хотя мы в какой-то степени коснулись этой темы, не помешает повторить, что все, что записано в журнале, потребует ступенчатой обработки, чтобы отснятый материал выглядел презентабельно. Если вы хотите научиться оценивать отснятый материал, попробуйте программное обеспечение Blackmagic Design DaVinci Resolve (которое также является отличной системой редактирования).
Стандартная версия, обладающая большей частью полной функциональности Resolve Studio, доступна бесплатно на веб-сайте Blackmagic Design. Это не намного лучше, чем это, но плагины для цветокоррекции, такие как Magic Bullet Suite от Red Giant и FilmConvert (мой личный фаворит), — это другие варианты, которые работают в большинстве других NLE, таких как Adobe Premiere, Avid Media Composer, и Final Cut Pro X также находятся на подъеме. Они просты в использовании и могут достигать отличных результатов без повторного использования отснятого материала в отдельном программном обеспечении для грейдинга.В конце концов, решать вам. Журнальные кадры гибки, поэтому все зависит от того, как вы хотите их обработать.
Выбор в будущем
Теперь, чтобы принести все это домой. Легко понять, почему журнал изначально был реализован только на топовых камерах, таких как Sony F35 и ARRI ALEXA. Это профессиональный инструмент, который постепенно превратился в потребительское оборудование. Это большое благо для нас, кинематографистов, потому что дает гибкость, необходимую нам для создания наилучших возможных изображений в наших фильмах.
Даже при условии, что большинство наших камер записывают в сильно сжатых кодеках, таких как H.264, журнал помогает нам максимизировать записываемые данные. Конечно, это требует немного больше усилий во время производства и постобработки, но эй, иногда небольшое дополнительное усилие делает вас намного ближе к форме искусства, которую вы практикуете, и делает ее гораздо более вашей собственной. Журнал — это все о выборе в будущем, так что вперед, хватайте камеру и дайте логу записать вихрь.
Sony S-log для чайников — Мэтт Аллард объясняет, как это работает с его PMW-F3
Обновление S-log от Sony поставляется на карте SXS
емкостью 32 ГБ. Как и я, вы, вероятно, никогда не слышали о Sony S-log и даже не имели ни малейшего представления о том, что это такое и для чего оно предназначено.
Изначально S-log был доступен только на супермощных кинокамерах, таких как Sony F35. Теперь, когда он доступен для Sony F3, я решил провести небольшое исследование и попытаться объяснить его как можно более простым языком.
Теперь, прежде чем я это сделаю, я не какой-то супер-технарь или инженер, поэтому я даже не буду пытаться объяснить, почему он делает то, что делает, с технической точки зрения. Я просто собираюсь объяснить, что он делает с изображением в реальном мире. Я исследовал, читая различные статьи, и я старался не делать эту статью слишком технической.Я также буду рад, если меня поправят в том, что я сделал неправильно.
S-log для чайников от Мэтью Алларда на Vimeo.
Короткое видео, которое я сделал, — это всего лишь несколько тестовых снимков, чтобы показать вам, что делает и как выглядит S-log. Это не научный тест, я просто использую камеру. Он не был записан на внешний рекордер — все было записано прямо на внутренние карты SxS. Все сравнительные снимки были сделаны с использованием одних и тех же объективов и настроек, если не указано иное.
Я проводил сравнения между S-логарифмом/не S-логарифмом, градуированным S-логарифмом/неградуированным S-логарифмом и градуированным не S-логарифмом/градуированным S-логарифмом. Также есть сравнения между Canon 7D с использованием профиля Technicolor Cinestyle и F3 с S-log и без него.
Короче говоря, S-log должен предложить вам исключительное воспроизведение тонов как в ярких, так и в слабо освещенных местах. Другими словами, это может помочь выделить самую яркую часть вашей сцены, сохраняя при этом детали в тенях.Мы все снимали что-то, когда для экспонирования самой яркой части сцены нам приходилось останавливать камеру. Обычно это означает потерю всех деталей в тенях. S-log помогает вам сохранить часть той информации, которую вы обычно теряете.
Человеческий глаз может видеть в диапазоне света около 14 ступеней, но он работает обратным образом по сравнению с датчиком камеры. Мы видим только небольшие изменения в темных условиях, но очень большие изменения в ярких.
Сенсор камеры видит большие изменения в темных условиях и лишь небольшие изменения в ярких.Это означает, что наши глаза видят большинство темных вещей как темных, но когда дело доходит до ярких вещей, например, неба, мы можем различать очень постепенные изменения яркости. Вот почему камера испытывает трудности, когда вы пытаетесь снять яркое небо, пытаясь правильно выставить передний план — она не может легко распознать постепенные шаги в ярких сценах, как это может сделать ваш глаз.
Прямо с сенсора камеры изображение выглядит очень темным, если к нему не добавлена гамма-кривая.Почти все HD-видеокамеры обрабатывают видео с гамма-кривой, поэтому при просмотре на телевизоре оно выглядит правильно. Этот метод просмотра называется REC709. Чего REC709 не может сделать, так это отобразить весь диапазон того, что может захватить сенсор вашей камеры. У F3 есть 16-битный датчик, но без S-log вы не сможете зафиксировать всю эту информацию в 10-битном сигнале. Вот где S-log зарабатывает свои деньги.
Он изгибает диапазон датчика, чтобы уместить всю информацию в допустимое 10-битное пространство. В этом процессе теряется некоторая информация, но теперь камера позволяет имитировать изменения яркости, видимые нашим глазам.Помните, ранее я говорил о том, почему камера плохо воспроизводит яркие сцены? Что ж, это то, что S-log помогает исправить.
Обычный способ борьбы с ярким небом — использовать градиентный фильтр нейтральной плотности перед объективом, но я обнаружил, что при использовании Sony F3 эти фильтры выглядят не так хорошо, как, скажем, на моем Sony PMW-350 XDCAM. С F3 вы можете увидеть заметную зернистость там, где мои фильтры градуированы, и я полагаю, что, если вы не используете фильтры максимально возможного качества, вы все равно сможете увидеть изменение качества.S-log приносит вам большую пользу, позволяя в некоторых случаях обходиться без фильтров, потому что он намного лучше обрабатывает основные моменты.
Тем не менее, меню S-log S-log требует корректировки цвета при публикации.
Изображение S-log без цветокоррекции выглядит размытым, ему не хватает цвета и контраста. Вам не нужно записывать S-log на внешнее записывающее устройство 4.4.4, такое как Convergent Designs Gemini, или даже на записывающее устройство 4.2.2, такое как AJA KiPro Mini. Его можно записать прямо на карты SxS, но это не лучший способ его использования, так как преимущества S-log в процессе цветокоррекции от записи к кодеку с гораздо более высоким битрейтом и более широкому цветовому пространству.При съемке S-log можно выбрать только 5600k или 3200k и снимать можно только в прогрессиве, а не в чересстрочной развертке (объяснений почему не нашел).
Имеются ли негативы для S-log? Судя по моему опыту, вам не нужно использовать его для всего, и это не чудо быстрого исправления, которое волшебным образом заставит весь ваш материал выглядеть прекрасно. Изображение будет выглядеть шумнее, особенно в тенях. Вот почему вам нужно быть осторожным, чтобы не недоэкспонировать ваши изображения.
Плюсы? Это фантастика, когда вам нужно снимать сцены с высоким уровнем контраста.
Мне удалось снять много высококонтрастных сцен, которые я даже не пытался бы снимать без S-log. Это также весьма примечательно при слабом освещении. Включение S-log похоже на включение дополнительного света в комнате. Он также обеспечивает удивительное воспроизведение деталей, которые вы обычно никогда не увидите. При 18 дБ с включенным S-log F3 может буквально видеть в темноте. Мои глаза не могут видеть то, что может эта камера с светосильным объективом.
Мое общее впечатление от S-log — «вау!» Однако это обновление стоит 3800 долларов США и не для всех.Тем не менее, я настоятельно рекомендую его, так как он действительно берет ваш F3 и помещает его на стероиды.
О Мэтью Алларде, Aljazeera Старший полевой оператор, Куала-Лумпур:
Мэтт более 20 лет работал оператором/редактором телевизионных новостей, ранее работал на 9 и 10 каналах в Австралии. Дважды оператор года Network Ten в Австралии, а также финалист Walkley за выдающуюся операторскую работу в 2006 году (за освещение расовых беспорядков в Кронулле) и финалист Logie за выдающееся освещение новостей 2006 года (Бали 9).
Он является многократным лауреатом премии ACS (Австралийского общества кинематографистов). Его история «Создатель мечей», снятая на 7D, получила престижную награду Neil Davis International News Golden Tripod на церемонии вручения наград ACS Awards 2011. Он освещал новостные события в более чем 35 странах, от крупных спортивных событий до терактов. Находясь в вещательном центре Куала-Лумпура в Малайзии, он является активным пользователем и приверженцем новых технологий, снимая сюжеты на камеры HD для вещания, Sony F3, а также новые цифровые зеркальные камеры Canon.
Вы можете следить за ним в Твиттере @mattaljazeera
Мэтью Аллард ACSМэтью Аллард — обладатель многочисленных наград, аккредитованный ACS внештатный оператор-постановщик с 30-летним опытом работы в более чем 50 странах мира.
Он является редактором Newsshooter.com и пишет на сайте с 2010 года.
Мэтью получил 42 награды ACS Awards, в том числе четыре престижных Золотых штатива.
В 2016 году он получил награду за лучшую операторскую работу на 21-й церемонии вручения наград Asian Television Awards.
Мэтью можно нанять в качестве DP в Японии или в любой другой стране мира.
Пять практических советов по S-Log, которые должен знать каждый стрелок Sony
Даже средний человек скажет вам, что цветовой профиль Sony S-Log считается одним из самых универсальных для использования в кинопроизводстве. Благодаря большому количеству собранных данных о цвете в сочетании с широким динамическим диапазоном съемка в S-Log 2 или 3 является очень распространенной практикой для многих пользователей камер Sony.Однако из-за сложности характера профиля многим новичкам сложно и даже немного сложно снимать с ним на съемочной площадке.
К счастью, Harv из Harv Video/Audio Stuff предлагает пять рекомендаций, которые следует учитывать при использовании профиля. Независимо от того, какой вариант S-Log вы выберете, основной вывод из видео заключается в том, что настройка чрезвычайно хрупкая и требует достаточного опыта и навыков цветокоррекции, если вы хотите получить наилучшее возможное изображение и получить максимальную отдачу от видео.
это позже в почте.
Прежде всего, при съемке в S-Log вы должны правильно выставлять экспозицию, несмотря ни на что. Как правило, профили журнала требуют от вас «экспозиции вправо», при этом вы намеренно переэкспонируете свое изображение. При этом попробуйте соответствующим образом настроить параметры камеры, такие как выдержка и диафрагма, сохраняя при этом значение ISO на исходном минимуме. Сохранение родного ISO вашей камеры даст вашему изображению максимальный динамический диапазон, доступный в вашей камере.
При настройке параметров камеры вам также может потребоваться использовать гистограмму, чтобы убедиться, что экспозиция соответствует вашей сцене. Убедитесь, что данные гистограммы не показывают слишком большую часть вашего изображения слева от графика, так как это указывает на то, что ваше видео недоэкспонировано.
Если вы планируете снимать с высокой частотой кадров, Harv рекомендует избегать использования S-Log. Из-за легкой и хрупкой природы профиля съемка с высокой частотой кадров приведет к очень заметным дефектам изображения.Это включает явно присутствующие алиасинг, изменение цвета и шум, что особенно актуально при съемке в режиме S-Log 3. В таких ситуациях многие кинематографисты рекомендуют вместо этого использовать профиль Cine4.
Что касается цветовых пространств, избегайте использования больших цветовых пространств, чтобы обеспечить правильную цветопередачу изображения. Согласно видео, Харв рекомендует использовать SGamut3.Cine, поскольку его собственные тесты показывают, что цветовое пространство дает наилучшие результаты после некоторой цветокоррекции. Однако другие цветовые пространства, такие как Cinema, Pro и Rec.709 может подойти большинству людей, которым нужны более резкие цвета прямо из камеры.
Когда дело доходит до цветокоррекции видео S-Log, попробуйте использовать кривые для добавления контраста, а не просто регулируйте ползунки «Контрастность», «Света» или «Тени» в плагинах для коррекции цвета.
Согласно Harv, использование Кривых обеспечивает более точный контроль над уровнем контрастности изображения, позволяя добавить больше глубины и деталей, что приводит к более аккуратным спадам светлых участков и теней.
Последний совет, показанный в видео, предлагает использовать LUT в сочетании с захваченным материалом S-Log. При цветокоррекции важно использовать справочную таблицу, чтобы получить более насыщенный и красочный вид ваших снимков. Даже LUT, преобразующий цвета S-Log в Rec.709, добавит больше цветов по сравнению с простым добавлением насыщенности и контрастности. Если вы ищете LUT для своих проектов, здесь можно найти один из любимых LUT Harv, созданный Vellichor.
Несмотря на то, что съемка и обработка материалов S-Log может быть весьма тщательной, большой объем собранных данных о цвете и изображении делает усилия по использованию S-Log оправданными.При постоянной практике и тестировании с использованием профиля новички должны понимать, как лучше всего использовать S-Log, если они прилагают надлежащее количество усилий, необходимых для получения наилучшего изображения.
[источник: Harv Video/Audio Stuff]
Что такое S-log, C-log и т.д.? : cinematography
Журнал — это формат, который очень эффективно сжимает данные в доступном хранилище. Каждая ступень динамического диапазона получает одно и то же пространство для хранения данных, в отличие от линейной гаммы, с помощью которой сенсор воспринимает мир и который очень неэффективен.(Кто-то здесь дал ссылку на мою статью, которая объясняет, почему.)
Причина, по которой журнал выглядит плоским, заключается в том, что вы часто впихиваете 10-14 ступеней в спецификацию Rec 709 HD, которая изначально предназначалась только для шести ступеней. Это означает, что каждые две ступени занимают пространство, предназначенное для одной, что значительно снижает контрастность.
Лог относится к логарифмически закодированной гамма-кривой. Гамма управляет контрастом и отделена от цветового пространства, что является чем-то совершенно другим, хотя большинство логарифмических кривых предназначены для работы в определенном цветовом пространстве (например, Sony S-Log2 и S-Gamut).
Журнал не предназначен для прямого просмотра: это только носитель информации. Вам нужно применить LUT или какую-то гамма-коррекцию, чтобы она выглядела правильно на дисплее Rec 709. (Rec 709 — это стандарт для HD-вещания, который позволяет изображению, снятому камерой, соответствующей стандарту Rec 709, нормально выглядеть на мониторе.) Непосредственный просмотр приводит к плоскому бесцветному изображению.
Журнал НЕ является нескорректированным выходным сигналом датчика. На самом деле вы никогда этого не увидите. Даже просмотр «необработанного» изображения в таких камерах, как RED, не является необработанным, потому что необработанное изображение — это просто информация о закономерностях Байера, которая вообще недоступна для просмотра людьми на любом устройстве без какой-либо обработки.(Если производитель камеры говорит, что показывает вам «сырые изображения», они не совсем правдивы. Они показывают вам некоторое представление необработанных данных, которые были обработаны для просмотра на дисплее Rec 709, но вы не видите настоящий необработанный материал.
)
— это способ обработки необработанных данных таким образом, что одна и та же информация может быть закодирована меньшим количеством битов. Эмпирическое правило, которое я слышал, заключается в том, что вы можете захватить динамический диапазон 12-битного необработанного файла в 10-битном журнале.
Журнал определенно не является заменой необработанных данных, поскольку есть вещи, которые вы можете делать с необработанными данными, но не можете делать с логарифмами, например, вернуться к тому же отснятому материалу спустя годы с другим алгоритмом деБайеринга и извлечь из него еще больше информации. Это.Тем не менее, это следующая лучшая вещь, и большинство сериалов ведут журнал съемок, потому что это очень эффективный способ собрать много информации для оценки. (Функции, как правило, захватывают необработанные данные чаще, чем лог.)
У каждого производителя есть своя разновидность логов, которая работает немного по-разному. В частности, каждый из них поместил средний серый и 100% белый цвета в разные точки гамма-кривой.
Это важно знать, так как это помогает определить экспозицию и оценить, насколько динамический диапазон вы получаете выше среднего серого.
Редактировать: в последнем абзаце написано raw вместо log. Упс.
Экспозиция и использование S-Log2 на Sony A7s. Часть первая: Гамма и экспозиция.
Это руководство предназначено для моделей A7S и A7SII. На мой взгляд, A7SIII не нуждается в такой же степени передержки, как описано здесь. Так что имейте это в виду при использовании A7SIII.
Этот документ был подготовлен независимо от Sony. Он основан на моих собственных выводах, полученных при использовании камеры и тестировании различных уровней экспозиции и методов.Часть 2, в которой объясняется, как использовать LUT для исправления отснятого материала в монтажном наборе или постобработке, находится здесь: http://www.xdcam-user.com/2014/10/using-s-log2-from-the-a7s- постпродакшн/
Если вы найдете это полезным, пожалуйста, угостите меня кофе или пивом. Мне не платят за написание этих статей.
Одной из действительно приятных особенностей Sony A7s и других камер Sony Alpha, включая A6300, A6500 и т. д., является возможность использовать различные гамма-кривые и, в частности, гамма-кривую Sony S-Log2.
Что такое гамма-кривые?
Все обычные камеры используют гамма-кривые. Гамма-кривая предназначена для того, чтобы облегчить управление отснятыми изображениями за счет уменьшения размера файла по сравнению с тем, который был бы без гамма-кривой. Когда телевидение было впервые разработано, гамма-кривая в камере делала сигнал достаточно слабым, чтобы его можно было транслировать передатчиком, а затем гамма-кривая в телевизоре (обратная кривой в камере) расширяла сигнал до нормального уровня. диапазон просмотра.Текущий стандарт вещательного телевидения называется «Рекомендация BT-709», часто сокращаемый до Rec-709. Эта гамма-кривая основана на стандартах, разработанных более 60 лет назад, и с тех пор технологии камер значительно продвинулись вперед! Тем не менее, почти все современные телевизоры и мониторы соответствуют стандарту Rec-709 или чему-то очень похожему.
Многие современные камеры могут захватывать диапазон яркости, также известный как динамический диапазон, который намного превышает стандарт Rec-709.
Ограничения стандартных гамм.
Поскольку гамма влияет на диапазон изображения от темного до светлого, она также влияет на контрастность изображения. Обычная телевизионная гамма имеет ограниченный динамический диапазон (около 6–7 ступеней) и, как следствие, ограниченный диапазон контрастности.
При съемке высококонтрастной сцены с обычной гаммой невозможно записать самые яркие светлые участки и самые темные тени. Однако контрастность на телевизоре или мониторе будет правильной, поскольку камера захватывает тот же диапазон контрастности, который может отображать монитор. Обычно гамма-кривая, используемая в камере, соответствует гамма-кривой, используемой телевизором или монитором. Таким образом, диапазон контрастности камеры и диапазон контрастности дисплея будут совпадать. Так контраст на экране телевизора будет соответствовать контрасту снимаемой сцены и картинка будет выглядеть «нормально».
Однако ограниченный динамический диапазон может означать, что очень яркие или очень темные объекты не могут быть точно воспроизведены, поскольку они могут выходить за пределы динамического диапазона гаммы.
Передержка, типичная для гаммы с ограниченным диапазоном, такой как Rec-709 , обычно проявляется в виде того, как яркие облака в небе становятся белыми поверх экспонированных пятен или яркие области на лицах становятся областями плоского белого цвета. Объекты в тени или теневых областях сцены просто слишком темные, чтобы их можно было увидеть. Но между переэкспонированными и недоэкспонированными областями контраст выглядит естественным и реалистичным.
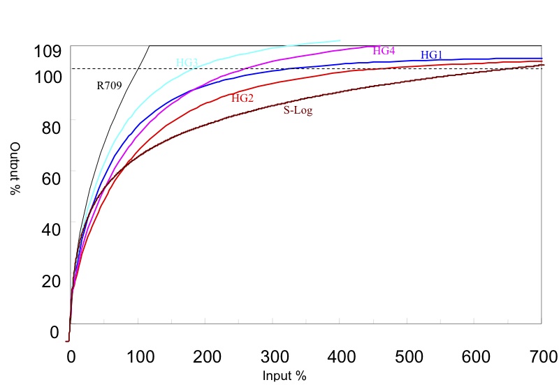
Типичный ограниченный диапазон воздействия Rec-709. Контраст хороший, но облака переэкспонированы и выглядят неестественно.Лог Гамма.
Гамма Log, такая как Sony S-Log2, позволяет камере захватывать гораздо больший диапазон яркости или динамический диапазон, чем это возможно при съемке с обычной телевизионной гаммой.
Динамический диапазон — это диапазон от светлого до темного, который может захватить камера, или диапазон, который монитор или телевизор может отобразить на одном изображении. Это диапазон от самого глубокого черного до самого яркого белого, который можно захватить или показать одновременно.
Есть некоторые вещи, которые необходимо учитывать, прежде чем вы будете слишком взволнованы возможностью захвата этого гораздо большего динамического диапазона.Основной из них заключается в том, что если камера настроена на S-log2, а телевизор или монитор является обычным телевизором Rec-709 (как и большинство из них), то телевизор не может правильно отображать захваченное изображение, телевизор просто не у меня нет диапазона, чтобы показать все, что камера с логарифмической гаммой высокого диапазона может точно зафиксировать.
Фиксированный диапазон записи для стандартной и логарифмической гаммы.
Диапазон и уровни сигнала, используемые для записи видеосигнала, обычно описываются в процентах.
Где черный — это 0%, а самая яркая вещь, которую можно записать, обычно записывается в диапазоне от 100% до 109%. Большинство современных видеокамер действительно записывают самые яркие объекты на 109%. Однако важно помнить, что диапазон записи фиксирован. Даже когда вы меняете гамма-кривую, камера по-прежнему ограничена диапазоном записи от 0 до 109%. Диапазон записи не меняется независимо от того, записываете ли вы Rec-709 или S-log2. Таким образом, логарифмическая гамма, такая как S-Log2, должна втиснуть гораздо больший диапазон сигнала в тот же диапазон записи, который используется в обычных записях Rec-709.
Запись S-Log2.
Для записи с использованием S-log2 с A7s вам необходимо использовать профиль изображения. Профили изображения предоставляют несколько вариантов гаммы записи. Для S-log2 следует использовать профиль изображения 7, который уже настроен по умолчанию для S-log2 и S-Gamut (информацию о цветовых гаммах см.
в этой статье). Кроме того, вы должны ВСЕГДА использовать собственный ISO камеры, который составляет 3200 ISO, и обычно предпочтительнее использовать предустановленный баланс белого .Использование любого другого ISO с S-log2 не позволит вам в полной мере воспользоваться всеми 14 стопами динамического диапазона, которые может предоставить S-log2. В большинстве камер Alpha у вас теперь также есть возможность использовать другую версию S-log — S-Log3, и она находится в профилях изображения 8 и 9. Вы можете использовать S-Log3, если хотите, но S- Log2 изначально разрабатывался Sony для работы с датчиками цифровых камер. S-Log3 основан на более старой кривой, разработанной для перевода фильмов в 10-битную запись. В результате при использовании камеры, которая имеет только 8-битную запись с ограниченным числом кодовых значений, S-Log2 имеет тенденцию быть более эффективным и давать лучший конечный результат.Это то, для чего он был разработан.
Серые карты и белые карты.
Прежде чем я продолжу, позвольте мне познакомить вас с серыми и белыми картами, если вы еще не сталкивались с ними. Не паникуйте, вам не обязательно иметь его, хотя я бы порекомендовал получить серую карту, такую как Lastolite EzyBalance, если у вас ее нет. Но полезно понять, что они из себя представляют.
Белая карта на 90%.
90% белая карта — это карта или диаграмма, которая отражает 90% падающего на нее света.Это будет карта, которая по яркости очень похожа на лист обычной белой бумаги. Она должна быть чисто белой, некоторые виды бумаги для принтеров обесцвечены или окрашены в слегка голубой цвет, чтобы они выглядели «блестяще белыми» (как вы увидите позже в во многих случаях можно использовать обычный лист белой бумаги вместо 90% белой карты для экспонирования).
Серая карта.
18% серая карта, также часто называемая «среднесерой» картой, представляет собой карту, которая отражает 18% падающего на нее света.
Очевидно, что она будет казаться намного темнее, чем белая карта. Визуально для нас, людей, 18-процентная серая карта кажется чем-то средним между белым и черным, отсюда и другое название — «средне-серый».
Средний уровень серого важен, потому что средний уровень яркости большинства типичных сцен имеет тенденцию быть около среднего значения яркости серого. Еще одна ключевая особенность среднего серого заключается в том, что, поскольку он находится в середине нашего диапазона экспозиции, это делает его очень удобным эталонным уровнем при измерении экспозиции, поскольку он менее подвержен влиянию сжатия светлых участков, чем 90% белая карта.
Экспонирование белого и среднего серого.
Возвращаясь к Rec-709 и обычным телевизорам и мониторам. Если мы хотим, чтобы лист белой бумаги выглядел ярким и белым на экране телевизора, мы записали бы его, а затем показали бы его где-то с яркостью от 85% до 95% от полного диапазона яркости экрана. Это не оставляет много места для вещей ярче, чем белый лист бумаги! Такие вещи, как облака в небе, блестящая машина, яркое окно или прямой источник света, например лампа или другой источник света.
Чтобы позволить S-log2 записывать гораздо больший динамический диапазон, уровень записи для белых и средних тонов сдвинут вниз.Вместо того, чтобы записывать белый цвет на уровне 85%-95%, при использовании S-log2 или S-Log3 Sony рекомендует записывать белый цвет на уровне около 60%. Для S-Log2 средний уровень серого также смещается вниз, вместо 42–43 % (нормальный уровень для Rec-709) для S-Log2 он составляет всего 32 % (S-log3 использует 41 %).
Записывая все белое (например, белый лист бумаги) и темнее в нижнем диапазоне, мы освобождаем много дополнительного пространства над уровнем записи белого в пределах всего диапазона записи, чтобы записать все эти яркие моменты в любой сцене, которые могли бы будет невозможно записывать с обычными гаммами, где только от 10% до 20% от белого при 90% до пика диапазона записи от 100 до 109%.
Чтобы освободить место для дополнительного динамического диапазона и возможности записывать очень яркие объекты, белые и средние тона смещены по уровню на гамма-кривую S-log2.
В результате белые, средние тона и т. д. будут отображаться темнее, чем обычно ожидается при использовании обычной гаммы.Поскольку S-Log2 и S-Log3 обычно сдвигают многие уровни записи вниз, если мы покажем сцену, снятую с помощью S-Log2 или S-log3, которая была правильно экспонирована на обычном телевизоре или мониторе, она будет выглядеть темной из-за низкие уровни записи.Кроме того, он будет выглядеть плоским с очень низкой контрастностью, так как теперь мы втиснули гораздо больший динамический диапазон в ограниченный обычный диапазон отображения Rec-709 обычного телевизора или компьютерного монитора.
Контрастность экрана снижается, так как контрастность захвата больше, чем контрастность дисплея. Это снижение контрастности экрана и более темные уровни на самом деле совершенно нормально при съемке с использованием логарифмической гаммы , так это должно выглядеть на обычном мониторе или телевизоре.Так что не пугайтесь, если при съемке с использованием S-Log ваши изображения выглядят немного темнее и площе, чем, возможно, вы привыкли при съемке со стандартной гаммой.
Вы отрегулируете кадры S-Log в постобработке, чтобы позже восстановить яркость и контрастность.
Постобработка S-Log2 и S-log3 очень важна и является одним из ключей к получению наилучших готовых изображений. Запись S-Log действует как цифровой негатив, и путем «обработки» этого цифрового негатива в постобработке (обычно называемой «оценкой») мы манипулируем большим 14-ступенчатым динамическим диапазоном захваченного изображения, чтобы он соответствовал ограниченному диапазону отображения. телевизор Rec-709 в приятной манере.Это может означать небольшое увеличение среднего диапазона, уменьшение светлых участков и битов и общее смещение уровней яркости и цвета различных частей изображения примерно на (дополнительную информацию о постобработке см. в ЧАСТИ 2).
SLog-2 и 10-битные или 8-битные данные.
Первоначально Slog-2 был разработан для использования с высококачественными цифровыми кинокамерами, такими как камера Sony F65.
Эти камеры имеют возможность записи с использованием 10-битных данных. 10-битная запись может содержать до 1000 оттенков серого от черного до белого.Однако A7s использует 8-битную запись, которая имеет максимум 235 оттенков от черного до белого. Обычно 8-битная запись вполне приемлема, так как большинство стандартов передачи и отображения также являются 8-битными. Снимайте 8-битной камерой, а затем отображайте это изображение непосредственно через 8-битную систему, и ничего не потеряется. Однако, когда вы начинаете оценивать и манипулировать изображением, разница между 8-битным и 10-битным становится более значительной. Если вы начнете сдвигать уровни, возможно, растягивая некоторые части изображения, тогда увеличенное тональное разрешение 10-битной записи поможет сохранить самое высокое качество изображения.Фотографы, которые снимали как в формате JPEG, так и в формате RAW, знают, насколько большую гибкость имеют 12-битные (или более) файлы RAW по сравнению с 8-битными JPEG-файлами. Однако они также будут знать, что 8-битный JPEG также можно настроить, если вам не нужно делать очень большие настройки.
Вопреки распространенному мнению, строгая цветопередача 8-битного видеоряда не обязательно приводит к полосам на гладких поверхностях, за исключением крайних случаев. Полосы чаще являются результатом артефактов сжатия, таких как блокировка макросов.Это особенно характерно для кодеков с очень высокой степенью сжатия, таких как AVCHD. Кодек XAVC-S со скоростью 50 Мбит/с, используемый в камерах Sony Alpha, является очень хорошим кодеком, намного превосходящим AVCHD, и в результате артефакты сжатия значительно уменьшаются, поэтому полосатость будет меньше проблемой, чем с другими кодеками более низкого качества. Если вы собираетесь снимать с использованием S-Log2, потребуется некоторая градация, и, поскольку у нас есть только 8-битные записи, мы должны позаботиться о том, чтобы экспонировать наш материал таким образом, чтобы свести к минимуму то, как далеко нам нужно будет толкать и тянуть материал.
Правильная экспозиция.
При разработке S-Log2 инженеры Sony составили таблицы, в которых указаны правильные уровни экспозиции для s-Log2, а именно:
Как видите, номинальная «правильная» экспозиция для S-Log2 намного ниже, чем уровни, используемые для отображения на обычном телевизоре или мониторе Rec-709.
Вот почему правильно экспонированный s-log2 выглядит темным на обычном телевизоре. Следствием этого является то, что когда вы оцениваете отснятый материал в постобработке, вам придется сместить уровни S-log2 вверх довольно далеко.Это может быть не идеально с 8-битным кодеком, поэтому я решил тщательно протестировать его, чтобы определить оптимальный уровень экспозиции для A7s.
Правильная экспозиция.
Панель изображений ниже взята с камеры A7s, записывающей S-log2 и экспонированной с рекомендованным Sony «правильным» средним уровнем серого 32%. Правильная экспозиция определялась с помощью серой карты и внешнего монитора сигналов, подключенного к выходу HDMI камеры. Затем S-log2 был скорректирован на этапе постпродакшна до нормального уровня Rec-709 с использованием справочной таблицы (LUT — подробнее о LUT во второй части).Вы также можете видеть дисплей видоискателя с камеры. Если вы нажмете на изображение ниже, вы можете увеличить его до полного размера.
Прошу прощения за тень от веревки для белья, я ее не заметила, когда снимала тестовые кадры!
Из этого вы можете видеть, насколько темным и низкоконтрастным выглядит оригинал с правильной экспозицией S-log2 и насколько ярче скорректированное изображение Rec-709. Я также указал, где на гистограмме камеры средний серый и белый.Обратите внимание, сколько места справа от белого на гистограмме. Именно здесь могут быть записаны дополнительные блики или переэкспонированный диапазон S-log2. При правильной экспозиции S-log2 имеет диапазон экспозиции на 6 ступеней выше среднего серого и на 8 ступеней ниже.
Переэкспонирование или «выталкивание» S-log2.
Если мы преднамеренно поднимем уровень экспозиции выше рекомендуемых Sony уровней (известное как увеличение экспозиции), при условии, что вы оцениваете изображение до тех же конечных уровней, происходят некоторые интересные вещи.
Для каждого шага мы повышаем уровень экспозиции, у вас будет на 1 шаг (то же самое, что 6 дБ) меньше шума.
Таким образом, на окончательных изображениях будет в два раза меньше шума для каждого шага, который вы делаете. Это результат более яркого экспонирования изображения и, как следствие, отсутствия необходимости повышать уровни при постобработке до такой степени, как при экспонировании на нормальном уровне.
Вы потеряете одну ступень запаса передержки, но получите одну ступень запаса недодержки.
Яркие блики будут перемещены вверх в наиболее сжатую часть логарифмической кривой гамма-распределения.Это может привести к потере текстуры в светлых участках.
Тона кожи и средние тона приближаются к нормальным уровням Rec-709, поэтому для этой части изображения при постобработке требуется меньше манипуляций.
Последний пункт важен для A7s с 8-битным кодеком, так что это та область, которую я рассмотрел наиболее внимательно. Что происходит с тонами и текстурами кожи, когда мы увеличиваем экспозицию?
Экспозиция +1, +2 и +3 ступени.
Ниже приведены еще 3 панели от A7s, снятые с шагом +1, +2 и +3.
Опять же, вы можете нажать на изображения, если хотите просмотреть их в полном размере.
Внимательно изучив эти результаты, вы увидите, что при увеличении экспозиции на 1 ступень по сравнению с указанным Sony правильным уровнем для S-log2 происходит очень полезное уменьшение шума, не то чтобы A7s был слишком шумным для начала, но вы получить заметно более чистое изображение.
Ниже приведены 4 кадра из тех же изображений после обработки.Я настоятельно рекомендую вам просматривать эти изображения в полном размере на мониторе хорошего качества. Нажмите на изображение, чтобы просмотреть в большем или полном размере.
Обрезка при различной экспозиции LUT скорректировала кадры A7s S-log2. Снижение шума при более высоких экспозициях по сравнению с базовой экспозицией очень хорошо видно, если вы посмотрите на черный край таблицы проверки цвета (цветные квадраты), хотя разница между +2 и +3 ступенями очень мала.
Вы также можете увидеть больше теней на изображении +3 стопа по сравнению с базовой экспозицией.Более тонкий, но важный эффект заключается в том, что по мере увеличения экспозиции видимая текстура деревянной прищепки уменьшается. Зернистость хорошо видна на уровне основания, но на +3 ступени она исчезла. Это вызвано тем, что светлые участки переходят в более сжатую часть логарифмической гамма-кривой. То же самое происходит с оттенками кожи на изображении +3 стопа, наблюдается некоторое уменьшение самых тонких текстур.
Из этого мы видим, что для средних тонов и телесных тонов вы можете позволить себе экспозицию на 1-2 ступени выше рекомендованного Sony базового уровня.Более чем на 2 ступени больше, и более яркие тона кожи и любые другие более яркие текстуры начинают теряться. Усиление шумоподавления при съемке на одну-две ступени больше, безусловно, полезно. Обратной стороной этого является то, что мы уменьшаем избыточный запас экспозиции.
Когда вы повышаете уровень экспозиции, вы уменьшаете запас по передержке.
Учитывая все, что я видел с этой 8-битной и почти с любой другой 8-битной камерой, я рекомендую снимать между рекомендуемым Sony базовым уровнем S-log2 и на два шага выше этого уровня.Я бы старался не снимать более чем на 2 шага вперед, так как именно здесь вы начнете видеть некоторую потерю текстуры в более ярких тонах кожи и более ярких текстурах. Где именно вы установите экспозицию, будет зависеть от бликов в сцене. Если вы снимаете очень яркую сцену, вам, возможно, придется снимать на рекомендуемом Sony уровне, чтобы получить наилучший запас по передержке. Если вы можете увеличить экспозицию без существенного ущерба для светлых участков, то вам следует стремиться к тому, чтобы быть на 2 ступени выше базовой.Но что бы вы ни делали, никогда не делайте экспозицию более темной, чем базовый уровень Sony, обычно это будет выглядеть очень противно.
Определение правильной экспозиции.
Сложность, конечно, заключается в том, чтобы определить, где на самом деле находится ваше воздействие.
К счастью, как мы видели, при условии, что вы находитесь в правильном поле, S-log2 довольно щадящий, поэтому, если вы немного переэкспонируете, это, вероятно, не сильно повредит вашим изображениям. Если у вас есть монитор формы сигнала, вы можете использовать его для установки экспозиции в соответствии с таблицей ниже.Если у вас нет подходящих белых или серых карточек, вы можете использовать лист обычной белой бумаги. Хотя это немного менее точно, это приблизит вас к тому, где вы хотите быть. Обратите внимание, что белая бумага имеет тенденцию быть немного ярче, чем специальная белая карта с коэффициентом отражения 90%. Если у вас нет белой бумаги, вы можете использовать тона кожи, опять же немного менее точно, но вы должны оказаться в нужной зоне.
Если у вас нет внешнего монитора осциллограммы, у вас есть несколько хороших вариантов. К сожалению, хотя у камеры есть зебры, они не очень полезны для S-log2, так как минимальное значение зебры составляет 70%.
Экспонометр: Вы можете использовать обычный фотометр. Если вы решите использовать экспонометр, я бы порекомендовал сначала проверить калибровку экспонометра относительно камеры.
Mark 1 Eyeball: Вы можете просто оценить экспозицию, глядя в видоискатель или на задний экран, но это сложно, когда изображение очень плоское.
Измерение в камере: Камеры, встроенные в систему замера, как и большинство зеркальных камер, откалиброваны для среднего серого. По умолчанию камера использует многоточечный замер для измерения средней яркости нескольких точек на сцене, чтобы определить среднюю яркость сцены и исходя из этого установить правильную базовую экспозицию S-log2.
Автоматическая экспозиция:
При использовании S-Log2 автоматическая экспозиция в большинстве случаев будет очень близка к правильной базовой экспозиции, если вы используете многозонный замер экспозиции по умолчанию.
Камера берет среднее значение экспозиции для сцены и автоматически регулирует экспозицию в соответствии с рекомендованным Sony уровнем экспозиции 32% для среднего уровня серого на основе этого среднего значения. В режимах P, A и S вы можете использовать диск компенсации экспозиции, чтобы сместить экспозицию, если хотите. Я бы порекомендовал добавить +1 или +2 ступени с помощью циферблата. Затем посмотрите на гистограмму, чтобы убедиться, что у вас нет значительной передержки. Если да, то уменьшите компенсацию экспозиции. Большое количество пиков в крайнем правом углу гистограммы свидетельствует о передержке.
Ручная экспозиция и внутренний замер.
Если вы экспонируете вручную, вы увидите маленький значок M.M. индикация в нижней части ЖК-дисплея с цифрой +/-. В видоискателе окуляра это отображается в виде шкалы от -5 до +5, в S-log2 используется только часть шкалы от -2 до +2. В обоих случаях это то, насколько, по мнению камеры, вы далеки от оптимальной экспозиции.
+ означает, что камера переэкспонирована, – означает, что камера недоэкспонирована.
На изображении выше мы видим М.М. значение +0,3, в окуляре вы увидите маленькую стрелку на одну черту справа от «0», указывающую на то, что многозонный замер камеры считает, что снимок немного переэкспонирован, даже если снимок был тщательно экспонирован с использованием серая карта и внешний осциллограф. Эта ошибка, вероятно, связана с большим количеством белого в кадре, белой рубашкой, белой картой, тестовыми таблицами с большим количеством более светлых, чем серые, оттенков.На практике ошибка в 0,3 стопа не вызовет никаких реальных проблем, поэтому даже если это было выявлено путем установки экспозиции таким образом, чтобы у вас было «М.М. 0,0″, экспозиция будет достаточно точной. Но это показывает, что усреднение экспозиции по нескольким точкам легко спутать.
Сцена выше является довольно нормальной сценой, не слишком яркой, но и не слишком темной.
Например, при съемке сцены со снегом усреднение по нескольким точкам камеры почти наверняка приведет к недоэкспонированному снимку, поскольку камера пытается уменьшить яркий снег в сцене до среднего среднего уровня серого.Если вы снимаете хорошо освещенное лицо на очень темном фоне, усреднение может попытаться поднять фон, и снимок может оказаться переэкспонированным.
Если вам нужна действительно точная экспозиция, вам следует перевести систему замера камеры в режим точечного замера, при котором вместо усреднения различных точек сцены камера будет просто измерять экспозицию в самом центре изображения.
Режим точечного замера A7s. Затем вы можете использовать серую карту для очень точной установки экспозиции.Просто поместите символ круглой формы в центр дисплея видоискателя над серой картой и установите экспозицию так, чтобы M.M был равен 0,0 для правильной базовой экспозиции S-Log2. Чтобы выставить 1 стоповер серой картой, установите M.M. +1,0 и две остановки над М.М.
+2,0 (не мигает, мигание указывает на более чем +2 ступени).
Одна небольшая проблема заключается в том, что камера будет отображать только M.M. диапазон от -2,0 до +2,0 ступени. Если вы не хотите преодолевать базу более чем на 2 остановки, вам подойдет серая карта.
Использование белого цвета вместо серого:
Если у вас нет серой карты, вы можете использовать белую мишень с коэффициентом отражения 90%. Поскольку белый цвет на 2 ступени ярче среднего серого, при правильной экспозиции S-Log2 90% белого цвета должны показывать M.M +2.0.
Использование точечного замера для установки правильной экспозиции для S-Log2. M.M должен читать M.M +2.0 для белой мишени с коэффициентом отражения 90%. После того, как вы установили правильную экспозицию, вы можете открыть диафрагму на 1 или 2 ступени, чтобы увеличить экспозицию.Или уменьшите скорость затвора вдвое, чтобы получить экспозицию на одну ступень ярче.
Каждый раз, когда вы вдвое уменьшаете скорость затвора, ваша экспозиция становится на одну ступень ярче, поэтому разделите выдержку на 4, чтобы увеличить экспозицию на 2 ступени. Как всегда, вы должны наблюдать за гистограммой, чтобы проверить наличие передержки. Белые пики в крайнем правом углу гистограммы или полностью исчезающие справа от гистограммы являются признаком передержки. В этом случае уменьшите экспозицию до базового уровня экспозиции (M.М 0.0 с серой картой).
Сводка экспозиции:
Я рекомендую использовать экспозицию между «правильным» базовым уровнем экспозиции S-Log2 среднего серого на уровне 32% и на два шага выше этого. Я бы не рекомендовал ехать более 2 остановок над базой.
В режимах автоматической экспозиции P, A и S при использовании многозонного замера по умолчанию камера устанавливает базовую экспозицию S-log2 на основе средней яркости сцены. Для большинства типичных сцен это среднее значение должно быть очень близко к среднему серому.
Затем эту экспозицию можно увеличить (осветлить) до 2 ступеней с помощью диска компенсации экспозиции.
При ручной экспозиции «М.М.» число, отображаемое в нижней части дисплея видоискателя, показывает, насколько далеко вы находитесь от правильной базовой экспозиции S-log2. М.М. +2,0 означает +2 ступени к базе. При использовании многозонного замера (камеры по умолчанию) эта экспозиция будет основываться на средней яркости сцены.
Если вы установите замер на «Точечный», вы можете использовать серую карту по центру изображения, чтобы определить правильную базовую экспозицию и до 2 ступеней передержки через M.Индикация М. при стрельбе вручную.
В части 2:
Во второй части я рассмотрю оценку S-log2 из A7 и как получить наилучшее из изображений S-log2 с помощью таблиц поиска (LUT).
ЧАСТЬ 2 – Как обращаться с отснятым материалом в постобработке здесь.
СЕВЕРНОЕ СИЯНИЕ Экскурсии и мастер-классы.
Не забывайте, я каждый год участвую в экспедициях по поиску штормов и северному сиянию.
Это удивительные экспедиции на снегоходах до Финнмарксвидды.Мы ходим на подледную рыбалку, катаемся на собачьих упряжках, гуляем, готовим еду в палатке и наслаждаемся традиционной норвежской сауной.
Больше информации здесь.
Северное сияние над нашими домиками в Норвегии.Нравится:
Нравится Загрузка…
СвязанныеS-log Для чайников на Vimeo
Как и я, вы, вероятно, не слышали о S-log или даже не имели ни малейшего представления о том, что это такое и что оно делает.
S-log изначально был доступен только на камерах высшего класса, таких как Sony F35.Теперь, когда он доступен для F3, я решил провести небольшое исследование и попытаться объяснить его как можно более простым языком. Теперь, прежде чем я это сделаю, я не какой-то супер текки или инженер, поэтому я даже не буду пытаться объяснить, почему он делает то, что делает. Я просто объясню, что он делает. Я также рад, если меня поправят во всем, что я сделал неправильно.
Я исследовал, читая различные статьи, и я старался не делать эту статью слишком технической.
Короче говоря, S-log должен обеспечивать исключительное воспроизведение тонов как при ярком, так и при слабом освещении.Другими словами, это может помочь выделить самую яркую часть вашей сцены, сохраняя при этом детали в тенях. Мы все снимали что-то, когда для экспонирования самой яркой части сцены нам приходилось останавливать камеру, что в конечном итоге означает потерю всех деталей в тенях. S-log помогает вам сохранить часть той информации, которую вы обычно теряете, а также дает вам больший диапазон основных моментов.
Человеческий глаз может видеть около 14 ступеней света, но он работает в обратном направлении от сенсора камеры.Мы видим только небольшие изменения в темных условиях, но очень большие изменения в ярких. С датчиком камеры он видит большие изменения в темных условиях, но только небольшие изменения в ярких. Это означает, что наши глаза видят большинство темных вещей как темных, но когда дело доходит до ярких вещей, например, неба, мы можем различать очень постепенные изменения яркости.
Вот почему камера борется, когда вы пытаетесь снять яркое небо, пытаясь правильно выставить передний план, поскольку она не может легко распознать постепенные шаги в ярких сценах, как это может сделать ваш глаз.
Прямо с сенсора камеры изображение выглядит очень темным, если к нему не добавлена гамма-кривая. Почти все HD-видеокамеры обрабатывают видео (с гамма-кривой), поэтому при просмотре на телевизоре оно выглядит правильно. Этот метод просмотра называется REC709. Чего REC709 не может сделать, так это отобразить весь диапазон того, что может захватить датчик вашей камеры. У F3 есть 16-битный датчик, но без S-log вы не сможете зафиксировать всю эту информацию в 10-битном сигнале. Вот где S-log зарабатывает свои деньги.Он изгибает диапазон датчика, чтобы уместить всю информацию в допустимое 10-битное пространство. В этом процессе теряется некоторая информация, но теперь он позволяет камере имитировать изменения яркости, видимые нашим глазам. Так что помните ранее, когда я говорил о том, почему камера плохо воспроизводит яркие сцены, это то, что S-log помогает исправить.
S-log требует цветокоррекции при публикации. Изображение S-log без цветокоррекции выглядит размытым, ему не хватает цвета и контраста.Вам не нужно записывать S-log на внешнее записывающее устройство 4.4.4, такое как Convergent Designs Gemini, или даже на записывающее устройство 4.2.2, такое как AJA Ki Pro Mini. Его можно записать прямо на карты SxS. Это определенно не лучший способ сделать это, поскольку S-log выигрывает в процессе цветокоррекции от записи до гораздо более высокого кодека и цветового пространства. При съемке S-log вы можете выбрать только 5600k или 3200k, и вы можете снимать только в прогрессивном режиме, а не в чересстрочном (не нашел объяснения, почему).
Негативы S-log.Из моего опыта до сих пор вам не нужно использовать его для всего. Это не быстрое чудо, которое волшебным образом заставит весь ваш материал выглядеть чудесно. Это увеличивает шум изображения, поэтому вы все равно должны быть осторожны при его использовании.
Положительные стороны.
Однако это фантастика, когда вам нужно снимать сцены с высоким уровнем контраста. Я смог снять множество сцен, которые обычно даже не пытался снимать без S-log. Это также весьма примечательно при слабом освещении.Включение S-log похоже на включение дополнительного света в комнате. Он также обеспечивает удивительное воспроизведение деталей, которые вы обычно никогда не увидите. При 18 дБ с включенным S-log F3 буквально может видеть в темноте. Мои глаза не могут видеть то, что может эта камера.
Общее впечатление от S-log — «вау!» Однако это обновление стоит 3800 долларов США и не для всех. Тем не менее, я настоятельно рекомендую это. Это действительно берет ваш F3 и ставит его на стероиды.
Короткое видео, которое я сделал, — это всего лишь несколько тестовых снимков, чтобы показать вам, что делает и как выглядит S-log.Это не научный тест, я просто использую камеру. Он не был выведен на внешний рекордер, все было записано прямо на внутренние карты SxS. Все сравнительные снимки были сделаны с использованием одних и тех же объективов и настроек, если не указано иное.
Есть сравнения между S-log и не-S-log, градуированным S-log и неградуированным S-log, градуированным не-S-log и градуированным S-log, а также сравнение между 7D с использованием профиля Cinestyles и F3 с и без S-лог.
Вы можете подписаться на меня в Твиттере @mattaljazeera
или на dslrnewsshooter.com
Использование видеозаписи S-Log для постобработки
30 июля 2020 г. • Обзоры снаряжения, Видеосъемка • 30 комментариев
Создавать контент для поддержки своего бренда на YouTube или просто придумывать собственное творческое повествование? Вот 7 удивительных новых камер для видео….
Подробнее → 27 января 2016 г.
•
Видеосъемка
• 3 комментария
У Sony a7SII есть несколько полезных функций, которые делают его достойным обновлением по сравнению с предшественником.У него все тот же лидер в своем классе…
Подробнее →21 января 2016 г. • Видеомонтаж, Видеосъемка
Узнайте больше о FilmConvert — удобном для новичков ресурсе по цветокоррекции для начинающих кинематографистов.Прочитайте о моем опыте использования FilmConvert как…
Подробнее → .

Гамма Cine-1 даёт более широкий динамический диапазон и особенно хорошо воспроизводит детали в самых светлых участках кадра с плавной градацией, что полезно для съёмок при ярком солнечном свете.
KeyVault/vaults/mykey